空节点路径长度(Null Path Length)

定义二叉树节点\(x\)的空节点路径长度\(npl(x)\)等于从\(x\)到\(x\)子树中的空节点的最小距离。于是若\(x\)为空节点则\(npl(x)=0\),否则若\(x\)有空孩子则\(npl(x)=1\),否则\(npl(x)>1\)。需明确大部分教材规定\(npl\)始于-1。下面给出与之相关的重要性质:
a1) 设\(x\)为二叉树中的非空节点,则\(x\)子树的前\(npl(x)\)层是完美二叉树,前\(npl(x)+1\)层不是完美二叉树;
证明:\(npl(x)=1\)时该命题易验证,只需考虑\(npl(x)>1\)的情况。首先\(x\)子树前\(npl(x)-1\)层的节点都必须有2个非空的孩子,否则会导致\(npl(x)\)小于当前值的矛盾,于是其前\(npl(x)\)层必然能被看作高度为\(npl(x)\)的完美二叉树。但在第\(npl(x)\)层必然存在有至少1个空孩子的节点,否则将导致\(npl(x)\)大于当前值的矛盾,于是其前\(npl(x)+1\)层不能被看作完美二叉树。
a2) 设\(x\)为二叉树中的非空节点,则\(x\)子树的节点数\(n_x \geq 2^{npl(x)}-1\);
证明:根据(a1),\(x\)子树的前\(npl(x)\)层是完美二叉树,这部分有\(2^{npl(x)}-1\)个节点,而去掉其他层的节点不影响\(npl(x)\);
a3) 设\(x\)为二叉树中的非空节点,则\(npl(x) \leq \lfloor \log_2{(n_x+1)} \rfloor\),其中\(n_x\)是\(x\)子树的节点数;
根据之前文章对完全二叉树的讨论,对于包含\(n>0\)个节点的任意二叉树,其树根\(r\)的高度不小于\(\lfloor\log_2n\rfloor + 1\),而结合上述性质可知\(npl(r)\)不超过\(\lfloor\log_2n\rfloor + 1\),这说明可以尝试构造\(O(npl(r))\)代价的算法来实现更高的性能。
左偏树(Leftist Tree)

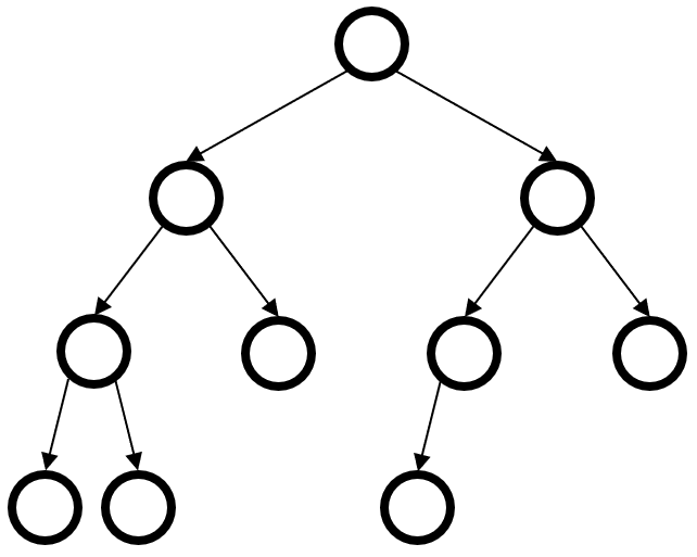
在确定好空节点路径长度的概念后,可直接递归的定义左偏树为空二叉树或树根\(r\)满足\(npl(r.left) \geq npl(r.right)\)且左右子树都是左偏树的二叉树。上图是左偏树的例子。接下来给出一个左偏树最主要的性质:
b1) 设\(x\)为左偏树中的非空节点,则\(x\)子树的右链表的节点数等于\(npl(x)\);
证明:根据(a1)右链表节点数不小于\(npl(x)\),若大于\(npl(x)\)则右链表中必存在\(x\)使\(npl(x.left) < npl(x.right)\)导致矛盾。
左偏树相比普通二叉树只是提供了右链表这个确定的空节点路径,所以在左偏树上更有可能构造出\(O(npl(r))\)代价的算法,其中\(r\)为左偏树的树根。对普通二叉树的树根执行\(f(r)\)即可使其成为左偏树,递归操作\(f(r)\)的步骤如下:
1) 若\(r\)为空:直接返回0;
2) 若\(r\)非空:置\(l=f(r.left),r=f(r.right)\)。若\(l<r\)则交换左右指针的指向然后返回\(1+l\),否则返回\(1+r\);
上述步骤的正确性很容易验证,\(f(r)\)每次返回的都是\(npl(r)\),而交换节点\(r\)的左右子树不影响\(npl(r)\)的值本身。
左偏堆(Leftist Heap)

1971年左右美国学者Clark A. Crane提出左偏堆,这是种基于左偏树的堆。由于花费较低代价即可合并2个左偏堆,所以左偏堆属于可并堆(mergeable heap)。一个左偏堆首先是一个左偏树,其节点除了要存储关键字\(key\),还需额外存储\(npl\)值,因为在左偏堆的运算中需要获取节点的\(npl\),而实时计算\(npl\)的代价是无法接受的。左偏堆需要实现的运算如下:
1) \(merge(r_1, r_2)\):将以\(r_1,r_2\)为树根的2个左偏堆合并成1个左偏堆,然后再返回该左偏堆的树根;
2) \(get()\):从左偏堆中去掉其中一个最小关键字并返回它;
3) \(put(k)\):在左偏堆中插入一个等于\(k\)的关键字;
需明确上述\(get,put\)结束时须保证符合左偏堆的定义。下面给出上述运算的步骤,其中\(merge\)运算的步骤可参考上图,图左侧的部分自顶向下的表示递归的下降过程,右侧的部分则自底向上的表示递归的回溯过程:
1) \(merge(r_1, r_2)\):具体步骤分情况如下:
1.1) \(r_1,r_2\)不都非空:若\(r_1\)为空则返回\(r_2\),否则返回\(r_1\);
1.2) \(r_1,r_2\)都非空且\(r_1.key \leq r_2.key\):置\(r_1.right=merge(r_1.right, r_2)\)。若\(r_1.left\)非空则置\(a=r_1.left.npl\),否则置\(a=0\)。置\(b=r_1.right.npl\)。若\(b>a\)则交换\(r_1\)的左右孩子,置\(r_1.npl=a+1\),否则置\(r_1.npl=b+1\)。返回\(r_1\);
1.3) \(r_1,r_2\)都非空且\(r_1.key>r_2.key\):置\(r_2.right=merge(r_2.right, r_1)\)。若\(r_2.left\)非空则置\(a=r_2.left.npl\),否则置\(a=0\)。置\(b=r_2.right.npl\)。若\(b>a\)则交换\(r_2\)的左右孩子,置\(r_2.npl=a+1\),否则置\(r_2.npl=b+1\)。返回\(r_2\);
2) \(get()\):若树根为空则抛异常。否则计树根为\(r\),置\(k=r.key\),然后置新树根为\(merge(r.left, r.right)\),最后返回\(k\);
3) \(put(k)\):创建新节点\(x\)并置\(x.key=k\),计树根为\(r\),然后置新树根为\(merge(r, x)\);
上述运算都以\(merge\)为基础,由于单个节点是左偏堆,左偏堆中的节点(子树)也都是左偏堆,所以只要能证明\(merge\)正确则其他运算就正确。首先如果\(r_1,r_2\)不都非空则\(merge\)显然能正确执行,所以只需要验证\(r_1,r_2\)都非空的情形即可。不妨先直接要求上述的步骤(1.2)在“置\(r_1.right=merge(r_1.right, r_2)\)”后就直接返回\(r_1\),步骤(1.3)在“置\(r_2.right=merge(r_2.right, r_1)\)”后就直接返回\(r_2\),那么如果\(r_1,r_2\)不都是空节点,\(merge(r_1,r_2)\)在进入子递归前就已确定最终要返回的节点和该节点的左子树,并且它们一定是\(merge(r_1,r_2)\)刚执行时的\(r_1,r_1.left\)或\(r_2,r_2.left\),整个过程的最后一次子递归\(merge(r’_1,r’_2)\)会因为\(r’_1,r’_2\)不都非空而直接返回,若将整个过程在步骤(1.2)或(1.3)返回的节点计为\(x_1…x_n\),则对于\(merge(r_1,r_2)\)返回的二叉树,仅\(x_1…x_n\)的\(npl\)值可能不正确,仅\(x_1…x_n\)可能不符合\(npl(x.left) \geq npl(x.right)\)的左偏树性质。所以步骤(1.2)或(1.3)在子递归结束后的回溯阶段需要解决该问题,而这只需在回溯阶段判断是否交换左右孩子,并更新即将返回的节点的\(npl\)值即可。
由于\(merge(r_1,r_2)\)包含的递归次数不超过其执行前\(r_1\)与\(r_2\)中的右链表长度之和,故其代价为\(O(npl(r_1)+npl(r_2))\)。于是对于树根为\(r\)的左偏堆,\(get\)的代价为\(O((npl(r)-1)+(npl(r)-1))\),\(put\)的代价为\(O(npl(r))\)。它们都是对数形式的。
总结与实现
注意到上述步骤(1.2)和(1.3)是完全对称的,如果将步骤(1.3)替换成“返回\(merge(r_2, r_1)\)”,则其完全与原来的步骤(1.3)等价。而之所以在一开始这样定义步骤(1.2)和(1.3),只是为了方便描述对算法步骤的分析。下面给出左偏堆的程序实现。
1 2 3 4 5 6 7 8 9 10 11 12 13 14 15 16 17 18 19 20 21 22 23 24 25 26 27 28 29 30 31 32 33 34 35 | class Node: def __init__(self, key): self.key = key self.npl = 1 # 非空节点的npl从1开始 self.left = None self.right = None class LeftistHeap: def __init__(self): self.root = None @classmethod def merge(cls, r1, r2): if not(r1 and r2): return r1 if r1 else r2 if r1.key <= r2.key: r1.right = cls.merge(r1.right, r2) a, b = r1.left.npl if r1.left else 0, r1.right.npl if a < b: r1.left, r1.right = r1.right, r1.left r1.npl = a + 1 return r1 r1.npl = b + 1 return r1 else: return cls.merge(r2, r1) def put(self, k): self.root = self.merge(self.root, Node(k)) def get(self): assert self.root k = self.root.key self.root = self.merge(self.root.left, self.root.right) return k |